Figure 1: The X-ray light curve of GRB 230307A in comparison with the modeling result of the radiation from a magnetar as the central engine (Sun et al, 2024). The team found consistency between the observed and the theoretical results. (IMAGE)
Caption
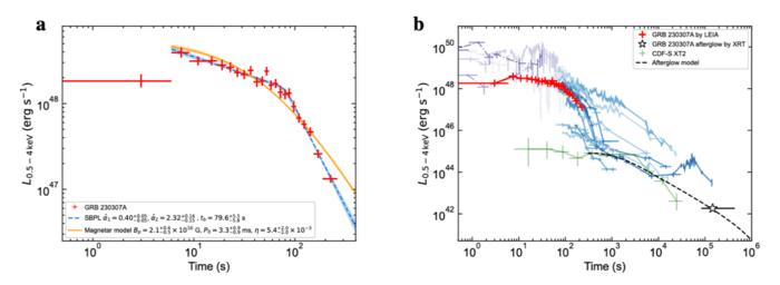
Figure 1: The X-ray light curve of GRB 230307A in comparison with the modeling result of the radiation from a magnetar as the central engine (Sun et al, 2024). The team found consistency between the observed and the theoretical results.
Credit
©Science China Press
Usage Restrictions
Use with credit.
License
Original content