Figure 3 (IMAGE)
Caption
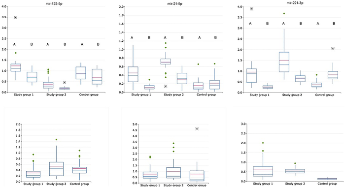
Relative expression of exosomal and non-exosomal miRNAs normalized to the corresponding miRNA-16-5p (upper raw) and normalized as exosomal to non-exosomal miRNAs ratio (lower raw) in saliva of patients with HCV-related cirrhosis (study group 1, n = 24), liver cancer (study group 2, n = 24) and healthy volunteers (control group, n = 21); A is for exosomal samples; B is for non-exosomal samples.
Credit
Correspondence to - Alisa A. Petkevich - pa.alisa26@gmail.com
Usage Restrictions
Credit must be given to the creator.
License
CC BY