page9image37781712 (IMAGE)
Caption
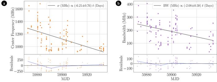
Two FRB 20220912A dataset parameters — center frequency and bandwidth — plotted over time, in MJD, from the beginning of the campaign to the end of the campaign (a time period of approximately 60 days). Panel a) indicates that the central frequency of the FRB decreases through the campaign (with residuals from the fit and a LOWESS non-parametric guideline shown below in blue). Panel b) shows the same decrease over time for bandwidth.
Credit
SETI Institute
Usage Restrictions
None
License
Original content