The associations of gut-associated microorganisms and the livestock numbers. (IMAGE)
Caption
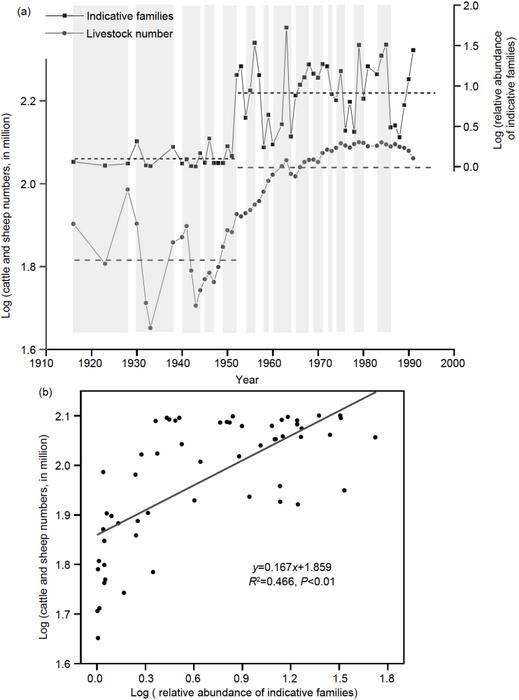
Panel (a) shows the annual changes in the relative abundance of animal husbandry indicative lineages (Aerococcaceae, Nocardiaceae, Muribaculaceae, and Lachnospiraceae) and animal stock numbers (cattle and sheep) across the ice core. Panel (b) shows the Pearson correlation between the relative abundance of indicative lineages and animal stock numbers. For panel (a), grey areas represent the consistent year-to-year changing patterns (increase or decrease). The average value before and after 1950 was labelled with dashed lines. Animal stock numbers were obtained from the Russian Agricultural Statistics at https://www.ier.hit-u.ac.jp/rrc/English/pdf/RRC_WP_No67.pdf.
Credit
©Science China Press
Usage Restrictions
Use with credit.
License
Original content