New Deep Learning Model Enhances Roadside Air Pollutant Forecasting Accuracy (IMAGE)
Hefei Institutes of Physical Science, Chinese Academy of Sciences
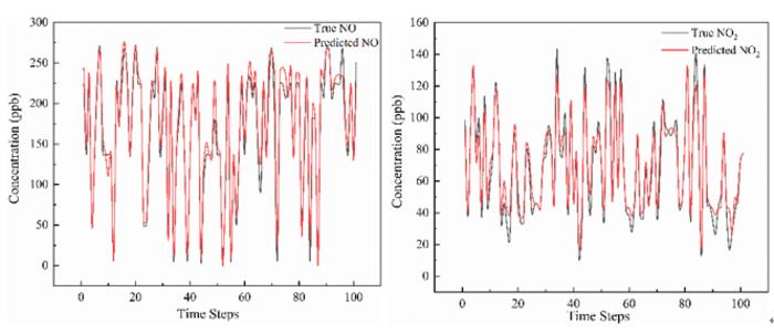
Caption
Joint prediction results for NOx
Credit
QIN Yusheng
Usage Restrictions
no
License
Original content
Disclaimer: AAAS and EurekAlert! are not responsible for the accuracy of news releases posted to EurekAlert! by contributing institutions or for the use of any information through the EurekAlert system.