image2 (IMAGE)
Caption
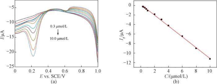
DPV measurements of CFL at various concentrations on TBABF4/VXC-72R/GCE: (a) current vs. potential; (b) relationship between peak current and CFL concentration
Credit
HIGHER EDUCATION PRESS
Usage Restrictions
none
License
Original content