Relationships between carbon sink increment efficiency index and social development level (IMAGE)
Caption
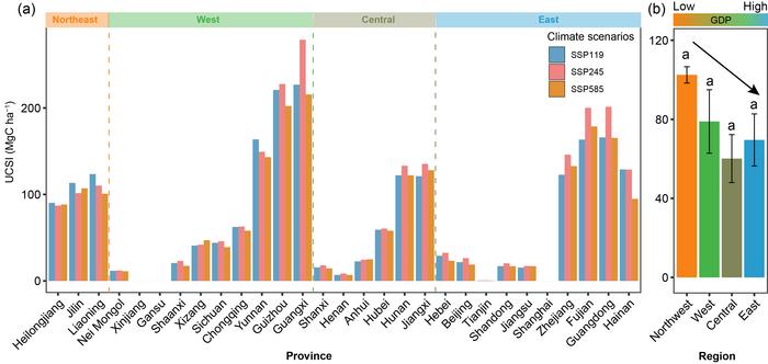
In this study, China is divided into four regions according to the development level of the province: (Ⅰ) Northwest, including Heilongjiang, Liaoning, and Jilin; (Ⅱ) West, including Xinjiang, Gansu, Xizang, Sichuan, Chongqing, Yunnan, Guizhou, Guangxi, Shaanxi, and Inner Mongolia; (Ⅲ) Central, including Shanxi, Henan, Anhui, Hubei, Hunan, and Jiangxi; and (Ⅳ) East, including Hebei, Beijing, Tianjin, Shandong, Jiangsu, Shanghai, Zhejiang, Fujian, Guangdong, and Hainan. (b) Different letters indicate significant differences at the P = 0.05 level
Credit
©Science China Press
Usage Restrictions
Use with credit.
License
Original content