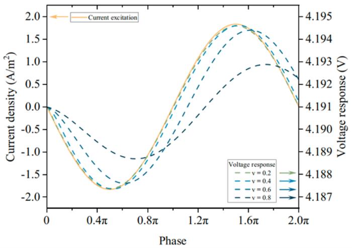
Fig. 3. Model phase verification. (IMAGE)

Beijing Institute of Technology Press Co., Ltd

Disclaimer: AAAS and EurekAlert! are not responsible for the accuracy of news releases posted to EurekAlert! by contributing institutions or for the use of any information through the EurekAlert system.