Figure 3 (IMAGE)
Caption
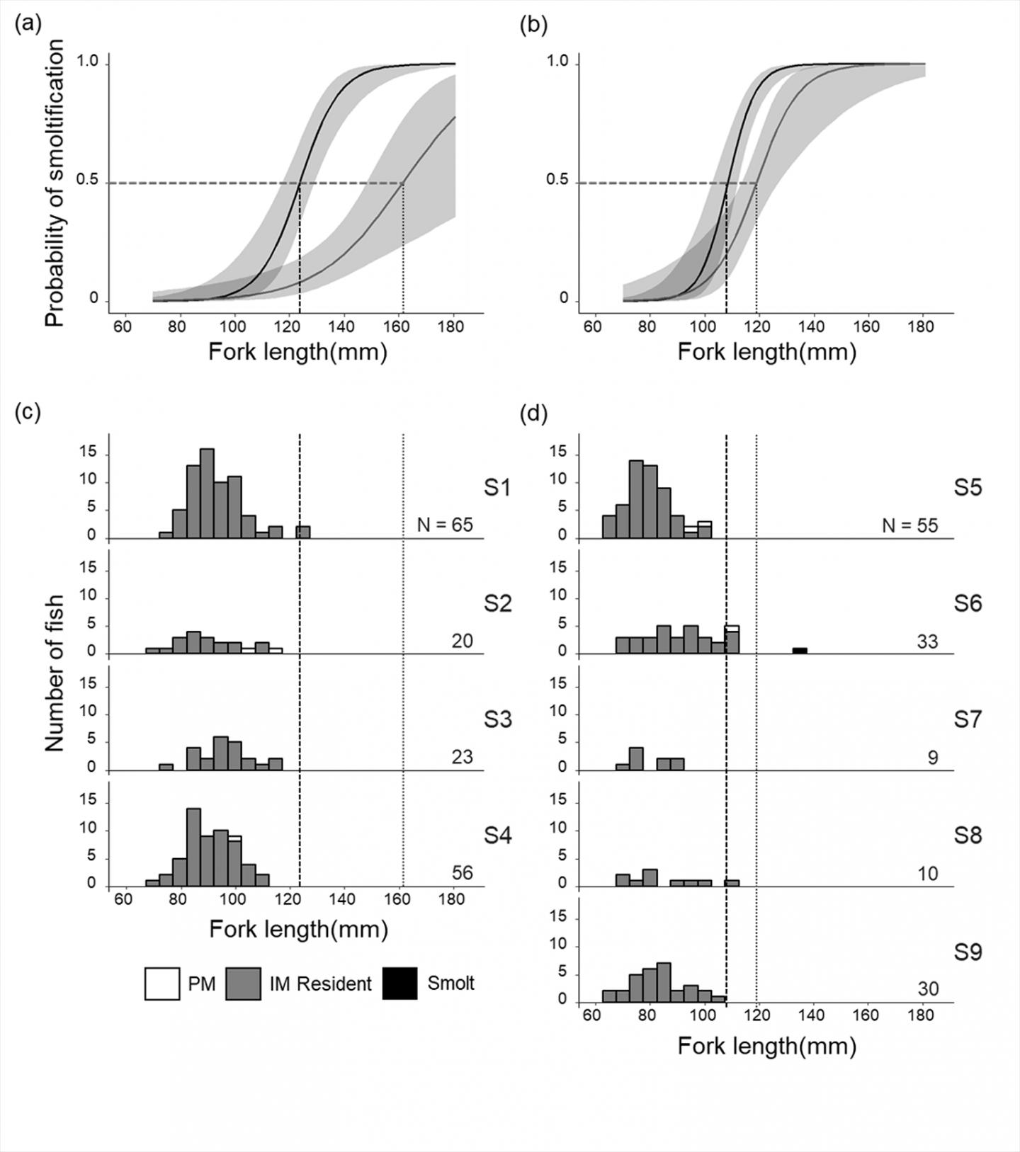
A and B: The relationship between the size of fish in fall (October) and the probability of smoltification for the hatchery groups. C and D: Size groupings for fish recaptured from natural streams. In A and B, the vertical dashed line shows the size (=threshold size) at which the probability of smoltification is 50%.
Credit
Tatsuya Tanaka
Usage Restrictions
Please credit
License
Licensed content