Temperature dependences of the new superconductor (IMAGE)
Caption
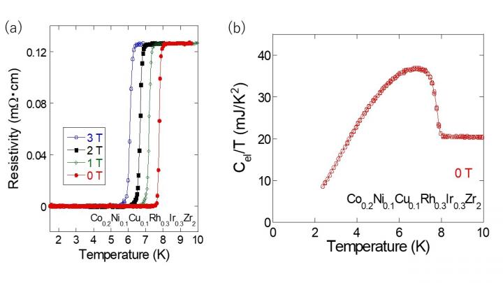
(a) Temperature dependence of resistivity of the new CuAl<sub>2</sub>-type Co<sub>0.2</sub>Ni<sub>0.1</sub>Cu<sub>0.1</sub>Rh<sub>0.3</sub>Ir<sub>0.3</sub>Zr<sub>2</sub> in magnetic fields of different strengths. (b) Temperature dependence of electronic specific heat C<sub>el</sub>/T.
Credit
Tokyo Metropolitan University
Usage Restrictions
None
License
Licensed content