New Formula for Determining What is a Species (IMAGE)
Pensoft Publishers
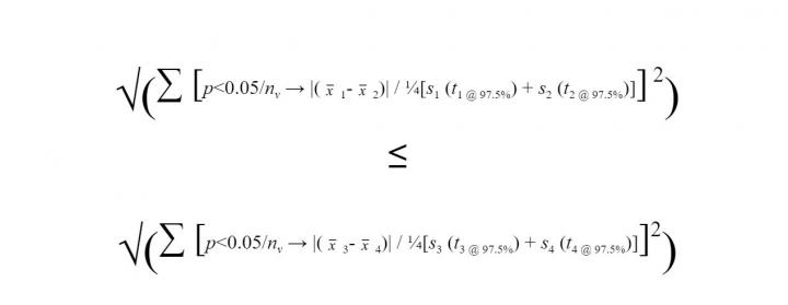
Caption
New formula for determining what is a species, rendered as an image.
Credit
Thomas Donegan
Usage Restrictions
CC-BY 4.0
License
Licensed content
Disclaimer: AAAS and EurekAlert! are not responsible for the accuracy of news releases posted to EurekAlert! by contributing institutions or for the use of any information through the EurekAlert system.