Thermal conductivity in the quantum spin liquid state in ruthenium chloride (IMAGE)
Caption
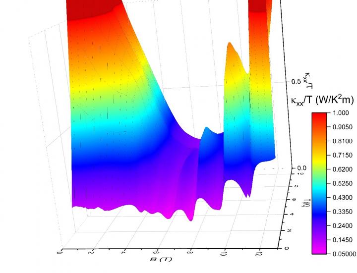
The 3D color-plot, a composite of many experiments, shows how the thermal conductivity κxx (vertical axis) varies as a function of the magnetic field B (horizontal axis) and the temperature T (axis into the page). The oscillations provide evidence for spinons.
Credit
Peter Czajka, Princeton University
Usage Restrictions
Credit: Peter Czajka, Princeton University
License
Licensed content