Verifying the generalized eigenstate thermalization hypothesis (IMAGE)
Caption
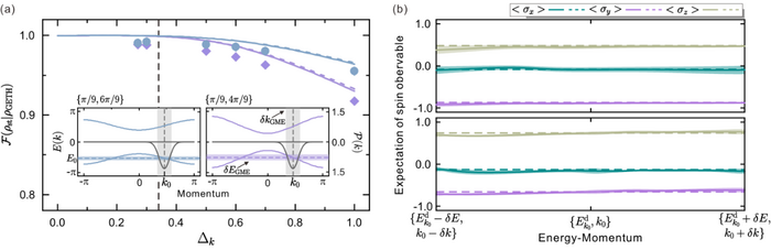
(a) Fidelity between the measured steady state and the prediction of the generalized micro-canonical ensemble for different initial conditions. (b) Measured expectations of the three spin observables of the reconstructed spinor eigenvectors within the chosen energy-momentum window.
Credit
by Qin-Qin Wang, Si-Jing Tao, Wei-Wei Pan, Zhe Chen, Geng Chen, Kai Sun, Jin-Shi Xu, Xiao-Ye Xu, Yong-Jian Han, Chuan-Feng Li, and Guang-Can Guo
Usage Restrictions
Credit must be given to the creator.
License
CC BY