The profiles of temperature, bulk density and conductive component of thermal conductivity at the CE-4 landing site (IMAGE)
Caption
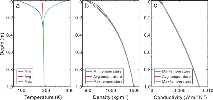
(a) The minimum, average and maximum temperature profile from the surface to the depth of 1 m with a surface pressure of 80 Pa. (b) The bulk density profile from the surface to the depth of 1 m corresponding to the minimum, average and maximum temperature in (a) without surface pressure. (c) The conductive component of thermal conductivity profile from the surface to the depth of 1 m corresponding to the minimum, average and maximum temperature in (a) without surface pressure.
Credit
©Science China Press
Usage Restrictions
Use with credit.
License
Original content