News Release

New study reveals optimal management strategies for postoperative exocrine pancreatic insufficiency

Research identifies effective treatment for non-malignant patients after pancreatic surgery

Peer-Reviewed Publication

Chinese Medical Journals Publishing House Co., Ltd.

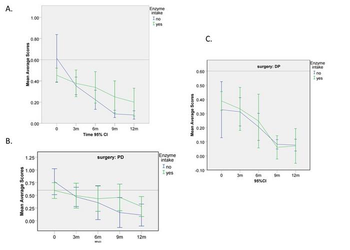
Trends in Postoperative EPI Symptoms

image: 

This graph illustrates the mean EPI-Q scores over time for patients undergoing pancreatoduodenectomy (PD) and distal pancreatectomy (DP). The scores, representing the severity of EPI symptoms, decrease significantly over the first year post-surgery, with a steeper decline observed in DP patients. The data underscores the critical three-month period for symptom management and highlights the efficacy of PERT in improving patient outcomes.

view more 

Credit: Journal of Pancreatology

A groundbreaking study led by researchers from Peking Union Medical College Hospital and nine other medical centers across China has shed light on the management of postoperative exocrine pancreatic insufficiency (EPI), a common yet often overlooked complication following pancreatic surgery.

Published in the Journal of Pancreatology, the research identifies a critical three-month period post-surgery where EPI symptoms are most pronounced and underscores the efficacy of pancreatic enzyme replacement therapy (PERT) in alleviating these symptoms.

"Our study is the first to comprehensively evaluate the incidence and management of EPI at various time points after pancreatic surgery," said Wenming Wu, M.D., corresponding author and professor at Peking Union Medical College Hospital.

 "We found that while EPI symptoms peak within three months, most patients recover significantly within a year, especially with appropriate PERT."

The study enrolled 146 patients with benign or borderline pancreatic tumors who underwent surgeries between December 2020 and November 2021.

 Using the EPI Questionnaire (EPI-Q), researchers assessed patients at discharge and during follow-ups at 3, 6, 9, and 12 months post-surgery. The findings revealed that 15.7% of patients experienced significant EPI symptoms within the first three months, with a higher incidence in those undergoing pancreatoduodenectomy (PD) compared to distal pancreatectomy (DP).

"Patients undergoing PD surgery, which involves gastrointestinal tract reconstruction, are at a higher risk of developing EPI due to the delayed entry of pancreatic enzymes into the intestine," explained Jingcheng Zhang, M.D., lead author of the study.

 "Our results show that early initiation of PERT can significantly improve symptoms in these patients."

The study also highlighted that while PERT is beneficial for PD patients, its duration may be reduced for DP patients, who generally exhibit milder symptoms and quicker recovery.

 This finding challenges the current one-size-fits-all approach to PERT and advocates for personalized treatment plans based on the type of surgery.

"The negative correlation between symptom score and time since surgery underscores the importance of timely diagnosis and intervention," added Dr. Wu.

 "Clinicians should closely monitor patients during the first three months post-surgery and adjust PERT regimens accordingly."

The research team plans to conduct further studies to validate these findings in larger cohorts and explore the long-term effects of PERT on pancreatic function and quality of life.


Disclaimer: AAAS and EurekAlert! are not responsible for the accuracy of news releases posted to EurekAlert! by contributing institutions or for the use of any information through the EurekAlert system.