News Release

Preparation, characterization of major degradation products of Pralatrexate injection

Peer-Reviewed Publication

Bentham Science Publishers

Preparation, Characterization and Validation of Major Degradation Products of Pralatrexate Injection

image: Preparation, characterization and validation of major degradation products of Pralatrexate injection. view more 

Credit: Bentham Science Publishers

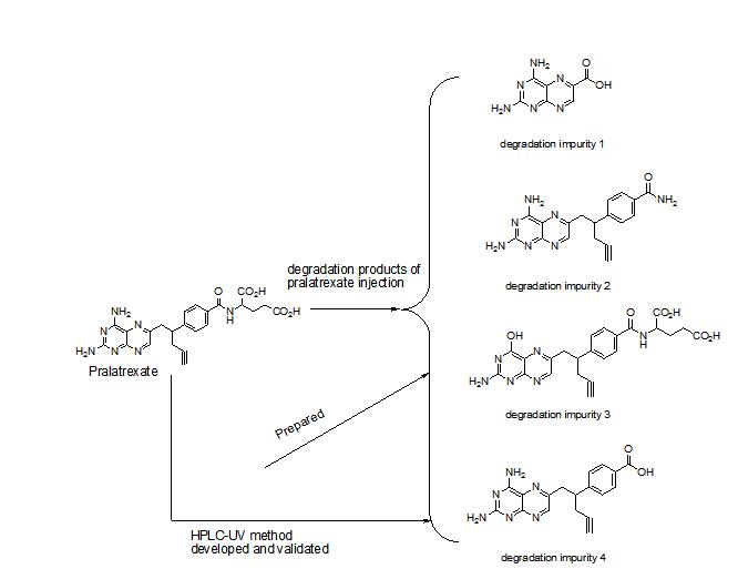
The major degradation products of pralatrexate drug product formed under hydrolytic and light stress conditions were identified, synthesized and characterized using advanced spectroscopic techniques such as NMR, HR-MS and IR. For quantification of related compounds including the degradation products of pralatrexate drug product a stability indicating HPLC method was developed and validated as per ICH guidelines.

Pralatrexate is an antineoplastic folate analog which is chemically named as (2S)-2-[[4-[(1RS)-1-[(2,4-diaminopteridin-6-yl)methyl]but-3-ynyl]benzoyl]amino] pentanedioic acid. Pralatrexate injection is a preservative-free, sterile, isotonic, non-pyrogenic clear yellow aqueous solution for intravenous administration. Chemical stability is an important product quality attribute of the pharmaceutical molecule that affects the safety, quality and efficacy of drug product. The information on the stability of a molecule helps in developing proper formulation, container-closure as well as storage conditions and shelf life. To understand the stability of molecule it is necessary to study degradation profile of a product. The samples generated from forced degradation can help in establishing stability indicating method and also degradation path way of product which helps to predict degradation products arise during accelerated and long term storage conditions. Forced degradation study for drug product is also very important for identifying as well as to know the nature of the degradation products (hydrolytic/oxidation/ heat) and to elucidate the structure of the drug products generated during stress study. To understand the degradation pathway of products an efficient analytical method is required which should be able to detect the impurities generated from stress conditions. High Performance Liquid Chromatography and HR-MS are the best tools to study the impurity profile of degradation products. It is also important to develop a sensitive HPLC method which should be able to detect and quantify the impurities at lower level. To know the detection level of degradation products in a HPLC method, pure forms of impurities are required. Four major degradation products pralatrexate finished product were synthesized and characterized by NMR, FTIR and HR-MS spectroscopic techniques. A sensitive and stability indicating HPLC method was developed and validated for quantification of pralatrexate and degradation products as well related compounds of pralatrexate in pralatrexate liquid formulation.

###

The article is open access until 31st January, 2019.

Article: http://www.eurekaselect.com/165235


Disclaimer: AAAS and EurekAlert! are not responsible for the accuracy of news releases posted to EurekAlert! by contributing institutions or for the use of any information through the EurekAlert system.