Can school feeding programs improve children’s comprehensive physical fitness?
Higher Education Press
image: Image
Credit: Ying ZHANG 1, Yu WANG 1, Qiran ZHAO 1, 2
School Feeding Programs (SFPs), as crucial public policies for improving children's nutrition and development globally, have covered 388 million children across 161 countries. In traditional evaluations, static indicators such as height, weight, and Body Mass Index (BMI) have long been dominant. However, these data fail to fully reflect the dynamic health status of children, including cardiorespiratory function and muscular strength.
Recently, a study led by Professor Qiran Zhao from the College of Economics and Management, China Agricultural University, for the first time incorporated physical fitness tests into the evaluation system. By analyzing the implementation effect of China’s Nutrition Improvement Program (NIP) for rural compulsory education students, the study provides a new perspective for optimizing SFPs worldwide, especially in African countries. The related article has been published in Frontiers of Agricultural Science and Engineering (DOI: 10.15302/J-FASE-2025611).
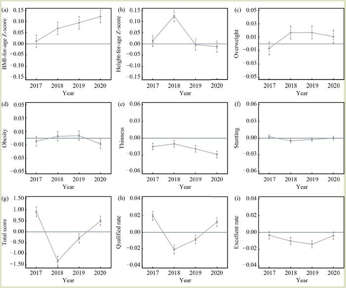
This study took over 400,000 primary and secondary school students in Ruyang County, Henan Province, from 2016 to 2020 as the research sample, covering height, weight, physical fitness test results, and health indicators of both rural and urban students.
The results showed that participation in the NIP significantly promoted the height and weight development of rural children. From 2016 to 2020, the Height-for-Age Z-scores (HAZ) of rural students increased from 0.10 to 0.35, and the BMI-for-Age Z-scores (BMI-Z) rose from –0.02 to 0.17. The growth gap between urban and rural children continued to narrow. More notably, the physical fitness test performance of rural students was consistently better than that of urban students, and this advantage expanded with the increase in participation time.
The study found that although the BMI of rural students was still lower than that of urban students, their sustained advantage in physical fitness tests indicated that reasonable nutrition not only supports growth but also enhances physical function. For example, in 2020, the obesity rate of rural students was significantly lower than that of urban students, while the prevalence of thinness was 1.5%–2.9% lower than that of urban students. This shows that the NIP has achieved a balance between avoiding the risks of malnutrition and obesity. Long-term follow-up data revealed that the effects of the feeding program are cumulative. The simultaneous occurrence of such “growth catch-up” and “functional improvement” confirms the necessity of integrating dynamic health evaluation into nutritional interventions.
Africa is a key region for global SFPs. At present, 9 countries including Ethiopia and Ghana have established national-level programs, but they generally face challenges such as low dietary quality and single evaluation indicators. China’s experience provides targeted solutions to these problems.
The study pointed out that African countries can learn from China’s standardized nutritional guidelines. The NIP ensures that students obtain balanced nutrition by clarifying the daily meal composition, and this model can improve the situation of “excess energy but insufficient micronutrients” in African school meals. Secondly, it is necessary to establish a comprehensive evaluation system that includes physical fitness tests. In addition, combining the “homegrown” model—such as Ghana’s approach of purchasing agricultural products from smallholders to increase local agricultural income—can enable SFPs to promote both children’s health and the community economy simultaneously.
This study confirms that the impact of SFPs on children goes far beyond growth indicators, and physical fitness tests should become a core dimension of evaluation. Data from the World Food Programme shows that every 1 USD invested in an effective feeding program can generate a return of up to 9 USD. With the inclusion of physical fitness evaluation, policymakers can more accurately optimize meal structures and allocate resources. For African countries, this is not only a technical solution to improve children’s nutrition but also a key means to break the cycle of “poverty-malnutrition-educational backwardness” through health interventions.
Disclaimer: AAAS and EurekAlert! are not responsible for the accuracy of news releases posted to EurekAlert! by contributing institutions or for the use of any information through the EurekAlert system.