News Release

Nature 子刊 | 英矽智能发布由AI赋能研发的抗特发性肺纤维化候选药物IIa期临床研究结果

Peer-Reviewed Publication

InSilico Medicine

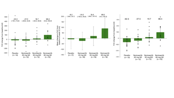
Rentosertib治疗12周后用力肺活量(FVC)变化值及其95%置信区间相比基线的变化情况。

image: (左图)FVC绝对变化值及其95%置信区间; (中图)基于采用随机缺失(MAR)假设的多重插补方法完成的ANCOVA模型,显示FVC的绝对变化值及其95%置信区间; (右图)治疗12周后FVC变化值及其95%置信区间,分析中排除了两个患者数据:一个为安慰剂组的患者,另一个为Rentosertib 30 mg QD组的患者。这两名患者筛查与基线肺活量测量值之间的差异超过600 mL,导致其基线FVC值存在不确定性。 view more 

Credit: 《自然·医学》

  • Rentosertib IIa期临床研究结果被刊登于全球顶尖学术期刊《自然·医学》(IF=58.7),并受邀在2025年美国胸科学会(ATS)年会上进行展示。
  • 临床数据显示:接受60 mg每日一次Rentosertib治疗的患者,用力肺活量(FVC)平均改善幅度最大,FVC均值增加98.4毫升,而对照组FVC均值下降20.3毫升。
  • 研究中的探索性生物标志物分析进一步验证了通过人工智能方法发现的新颖靶点TNIK的生物学机制,研究结果支持Rentosertib具有潜在的抗纤维化及抗炎作用。

人工智能(AI)正迅速变革制药行业,从靶点发现到精准医疗,全方位重塑行业格局,为加速药物研发与上市带来了前所未有的机遇。然而,尽管AI技术应用日益广泛,由AI赋能研发并真正进入临床试验阶段的药物仍寥寥无几,而实现临床概念验证的更是少之又少。

2025年6月3日,业内首个AI驱动药物研发的临床概念验证成果发表于《自然·医学》。英矽智能及其合著者共同发布了TNIK抑制剂Rentosertib(ISM001-055)IIa期临床试验的安全性和有效性数据。Rentosertib是通过英矽智能生成式AI平台Pharma.AI发现和设计的用于治疗特发性肺纤维化(IPF)的潜在全球首创小分子药物。此外,研究中的探索性生物标志物分析进一步验证了通过人工智能方法发现的新颖靶点TNIK的生物学机制,研究结果支持Rentosertib具有潜在的抗纤维化及抗炎作用。

英矽智能创始人兼首席执行官Alex Zhavoronkov博士表示,“这些结果不仅表明Rentosertib具有可控的安全性和耐受性,还为进一步开展大规模、长周期的临床试验奠定了基础。Rentosertib的实践经验展现了AI在药物研发领域的变革潜力,为更高效创新的研发手段提供了价值参考。”

中国医学科学院北京协和医院主任医师 、ISM001-055 IIa期临床试验中国牵头研究者徐作军教授表示,“我们非常高兴能够将研究成果发表于《自然·医学》,Rentosertib 这款药物的靶点识别和分子设计均由人工智能驱动,这代表着制药行业真正的创新。特发性肺纤维化(IPF)仍是一种极具挑战性的疾病,存在显著未满足的临床需求。本研究表明,Rentosertib 具有为 IPF 患者提供有意义临床获益的潜力,这令人倍感振奋。然而,本研究中各患者组的样本量相对较小,我们期待这些发现在更大规模的队列研究中进一步获得验证。”

该论文主要报道了一项名为GENESIS-IPF的IIa期研究(NCT05938920)结果,这是针对Rentosertib的一项双盲、安慰剂对照临床试验,在中国22个中心共入组71例IPF患者,受试者被随机分配接受安慰剂、每日一次30mg、每日两次30mg或每日一次60mg,持续12周的用药观察。

结果显示,Rentosertib达到主要研究终点,即具有可控的安全性和耐受性。从数据来看,各治疗组中与治疗相关的不良事件(TEAEs)发生率相似,大多数不良事件(AEs)为轻度或中度,严重不良事件(SAEs)发生率罕见,且所有不良事件在停药后均可恢复。

在次要疗效终点方面,Rentosertib同样取得了令人鼓舞的结果。为期12周的试验中,以用力肺活量(FVC)这一评价IPF患者肺功能的金标准来看,在接受治疗的患者中观察到剂量依赖性的肺功能改善。在每日一次60mg的最高用药剂量组中,患者的FVC与基线水平相比,平均提高98.4毫升,而安慰剂组患者的FVC与基线水平相比,平均下降20.3毫升。

此外,作为一项探索性研究,研究团队整个试验期间收集了患者的血清样本,并对蛋白质谱进行了分析,以探究Rentosertib作用机制以及与疗效相关的潜在预后或预测性生物标志物。

结果显示,在经过12周治疗后,血清蛋白水平和用力肺活量(FVC)均出现了剂量和时间依赖性的变化,进一步支持了Rentosertib的抗纤维化和抗炎作用。例如:在高剂量组中,COL1A1、MMP10和FAP等促纤维化蛋白显著降低,而抗炎标志物IL-10则有所升高,这些蛋白质的变化与FVC的改善具有相关性。这些发现与临床前研究结果一致,并为开展下一步临床验证的剂量选择和生物标志物识别提供了宝贵的指导。

本研究的数据已通过口头报告及海报的形式在2025年美国胸科学会(ATS)年会上进行了展示。鉴于此次研究取得的令人鼓舞的成果,英矽智能已与监管部门开展沟通,以促进在更大患者队列中对Rentosertib的前瞻性评估。

通过融合先进的人工智能与自动化技术,英矽智能在实际应用中显著提升了研发效率,为AI驱动的药物研发树立了新标杆。相较于传统早期药物发现所需的2.5至4年,英矽智能于2021年-2024年间提名的22个候选新药项目,平均仅用12至18个月便实现了从项目立项到临床前候选分子(PCC)确定的转化,每个项目的合成和测试分子数仅约为60至200个。

 

关于Rentosertib(ISM001-055)

Rentosertib是一种潜在全球首创小分子抑制剂,靶向人工智能赋能发现的新颖靶点TNIK。在IPF中,激活TNIK靶点可驱动肺部的病理性纤维化,导致肺功能进行性下降。通过抑制TNIK信号传导,Rentosertib旨在阻止或逆转纤维化过程,为IPF患者提供一种改善疾病的治疗方法。2023年2月,Rentosertib获得FDA授予的孤儿药资格认定。2024年3月,Rentosertib由AI驱动的早期药物发现过程被刊登于全球头部期刊《自然·生物技术》

 

关于特发性肺纤维化(IPF)

特发性肺纤维化是一种慢性、进行性肺纤维化疾病,以肺功能进行性、不可逆性下降为特征。IPF影响全球约500万人,预后较差,中位生存期仅为3至4年。目前的治疗方法包括抗纤维化药物等,可以减缓疾病进展但无法停止或逆转疾病进程,因此迫切需要更有效的改善疾病的治疗方法。

 

关于英矽智能

英矽智能是一家由生成式人工智能驱动的全球先锋生物科技公司,利用其专有的 Pharma.AI 平台和先进的自动化实验室,加速药物发现并推动生命科学领域的创新。通过整合人工智能和自动化技术,英矽智能正在为纤维化、肿瘤学、免疫学、疼痛、肥胖和代谢紊乱等未满足的疾病领域提供创新药物解决方案。英矽智能由人工智能驱动发现的产品管线中,已有10个分子获得临床试验许可,其中进展最为领先的Rentosertib(原名ISM001-055)是一种潜在全球首创用于治疗特发性肺纤维化的候选药物,已完成2a期临床研究并获得令人鼓舞的积极结果。此外,英矽智能还在探索前沿领域,包括老龄化研究、可持续化学和农业创新方面的突破。更多信息,请访问网站www.insilico.com

商务合作,请联系 bd@insilico.ai

媒体垂询,请联系 pr@insilico.ai


Disclaimer: AAAS and EurekAlert! are not responsible for the accuracy of news releases posted to EurekAlert! by contributing institutions or for the use of any information through the EurekAlert system.